Document Type : Original Research
Authors
- Marziyeh Mirzaeiyan 1
- Simin Hemati 2
- Ali Akhavan 2
- Mahnaz Etehadtavakol 1
- Zahra Sharifonnasabi 3
- Alireza mouheidari 4
- Atoosa Adibi 5
- Hossein Khanahmad 6
- Parvaneh Shokrani 1
1 Department of Medical Physics, Faculty of Medicine, Isfahan University of Medical Sciences, Isfahan, Iran
2 Department of Radiotherapy Oncology, Faculty of Medicine, Isfahan University of Medical Sciences, Isfahan, Iran
3 Department of Statistics, University of Isfahan, Isfahan, Iran
4 Department of Radiation Oncology, Isfahan Milad Hospital, Isfahan, Iran
5 Department of Radiology, Faculty of Medicine, Isfahan University of Medical Sciences, Isfahan, Iran
6 Department of Genetics and Molecular Biology, Faculty of Medicine, Isfahan University of Medical Sciences, Isfahan, Iran
Abstract
Background: Dosiomics involves converting 3D dose distribution matrices into quantifiable data for analysis. Evaluating the stability of dosiomics features against different prescribed doses is essential before utilizing them for treatment plan assessment.
Objective: The current study aimed to investigate dosiomics features variability resulting from different prescribed doses in 3D conformal radiotherapy treatment plans of prostate cancer patients.
Material and Methods: This retrospective cross-sectional study is conducted based on data from ten prostate cancer patients, and their dose matrices were analyzed to extract features. The stability of dosiomics features was evaluated using the Coefficient of Variation (CV).
Results: For each patient, 372 features were extracted for each of the five selected regions of interest. Features with a CV>0.25 have been considered with higher variability. Among the Gray Level Size Zone Matrix group, the Planning Target Volume (PTV) exhibited the highest CV value. Overall, 71% of the features had a CV<0.1, while 5.9% of those had a CV>0.25. Less than 2% of the features had a CV>0.5, and only less than 1% had a CV>1. Features with a CV>0.25 were as follows: 33 features in PTV, 60 features in PTV-All, 63 features in PTV-Lymph Node, 65 features in the rectum, and 54 features in the bladder.
Conclusion: The prescribed dose significantly influences the variability of dosiomics features during extraction. Understanding these changes is essential for the optimal application of dosiomics in treatment planning for cancer.
Highlights
Marziyeh Mirzaeiyan (Google Scholar)
Parvaneh Shokrani (Google Scholar)
Keywords
Introduction
Dosiomics features are employed to advance the prediction of treatment outcomes and complications in radiation therapy. Dosiomics involves the conversion of the calculated 3D dose distribution matrix from treatment plans into quantitative data, which is subsequently analyzed for modeling Tumor Control Probability (TCP) and Normal Tissue Complication Probability (NTCP) [ 1 - 8 ]. Dosiomics features specify the statistical and spatial relationships of voxels in the dose matrix and also extract several spatial features through quantitative analysis based on multidimensional data, such as shape, statistics, and texture features [ 1 , 3 , 7 , 9 ]. Dosiomics, incorporating spatial dose distribution information, can outperform models based on clinical characteristics and dosimetric factors from Dose Volume Histograms (DVH). By considering spatial information, dosiomics captures details and correlations within the treatment area, enhancing the accuracy of NTCP and TCP models. Thus, dosiomics offers a promising approach for improving treatment outcome predictions compared to DVH-based models. This highlights the potential of dosiomics as a valuable approach for enhancing treatment outcome predictions compared to DVH-based models. Dosiomics can enhance the prediction of radiation-induced complications in models and the potential for tumor control after radiation therapy [ 1 - 4 , 6 - 13 ]. The use of dosiomics features for constructing predictive models in machine learning methods requires major data collected from different centers. However, a key concern arises regarding the potential impact of variations in prescribed doses for patients, the utilization of different technologies, and the diverse methods to calculate dose distribution across various centers. Further, these variations can undermine the efficiency of the dosiomics features extraction. On the other hand, some dosiomics features are sensitive to factors related to the dose distribution calculation process in treatment plans, such as calculation grid size [ 14 - 16 ], type and version of calculation algorithms [ 15 ], and cube pixel spacing size [ 16 ]. The stable and reproducible features have to be identified before analyzing dosiomics data since features with low stability can yield false findings and non-reproducible models.
While some previous studies have examined the stability of extracting dosiomics features against some influencing factors related to the dose distribution calculation process, the stability of dosiomics feature extraction has not been investigated against different prescription doses. Therefore, this study aimed to evaluate the stability of dosiomics features using different prescribed dose values: 67, 69, 71, and 73 Gy in prostate cancer patients.
Material and Methods
Data Collecting and Prescribed Dose
In this retrospective cross-sectional study, the treatment planning data were collected from ten prostate cancer patients with pelvic lymph node involvement (or patients requiring pelvic prophylactic treatment). Computed tomography-simulation images with a slice thickness of 5 mm were taken with patients in the supine position using a SOMATOM Definition AS or SOMATOM Confidence CT scanner (Siemens, Germany). The axial plane of the CT images had a matrix of 512×512 with a pixel size ranging from 0.77 to 0.98 mm. The treatment plans for these patients were carried out using the TIGRT Treatment Planning System (TPS) for the Siemens-Primus and energy of the 15-megavoltage linear accelerator at Harandi Charity Foundation (Isfahan, Iran). In the present study, the prescribed dose for the three-dimensional Conformal Radiation Therapy (3D-CRT) treatment plans for prostate patients was as follows: in the first stage, treatment of the whole pelvis (PTV-All: PTV-Lymph Node (PTV-LN) + Planning Target Volume (PTV)) up to a dose of 45 Gy in 25 fractions. Then, in the second stage, boost treatment was applied for different prescription doses of 22, 24, 26, and 28 Gy (total doses of 67-73 Gy in 36-39 fractions) to the PTV. In stages of whole pelvis treatment and boost treatment, 3D-CRT plans were designed as four-field boxes with a 1 cm Multi-Leaf Collimator (MLC) margin. The treatment plans were optimized to ensure that at least 95% of the prescribed dose was delivered to more than 95% of the PTV-LN and PTV volume. Also, the maximum dose of the plan should be less than 107% of the total prescribed dose. Then, for each patient, four different dose distributions (each patient with four different prescribed doses) were extracted as DICOM files (RT Dose & RT Structure).
Dosiomics Features Extraction
A total of eighteen First-Order dosiomics features of the dose matrix and 75 texture features, including GLCM (24 features), GLRLM (16 features), GLDM (14 features), GLSZM (16 features), and NGTDM (5 features) [ 15 ], were extracted from Regions of Interests (ROIs) in PTV, PTV-LN, PTV-All, bladder, and rectum using the SlicerRadomics module in 3D-Slicer software (version 5.3.0). To extract features after treatment planning, CT images along with RT structure and the 3D dose matrix (RT dose) corresponding to four dose distributions with prescribed doses of 67, 69, 71, and 73 Gy for each patient in DICOM format were exported from the TPS and imported into the 3D-Slicer software. All dose distributions were resampled to a voxel size of 1×1×1 mm3 before extracting the dosiomics features. Subsequently, the resampled dose distribution was approximated between the minimum and maximum dose with a fixed bin width of 1.
Data Analysis
The stability of feature extraction was evaluated based on the Coefficient of Variation (CV), defined as the ratio of the standard deviation to the mean value [ 15 , 16 ]. The CV for each feature was calculated based on four different dose distributions for each patient and the five ROIs. A threshold of CV>0.25 was employed to identify features with a higher degree of variability. The specific threshold value was selected based on the stability curve, which plots the normalized number of features against the coefficient of variation, for all features and ROIs. The threshold points for CV>0.25 were determined based on the location, in which the stability curve exhibited a noticeable break or bend [ 14 ]. A difference was statistically significant (P-value<0.05). The data was analyzed using IBM SPSS version 27 and R version 4.3.1.
Results
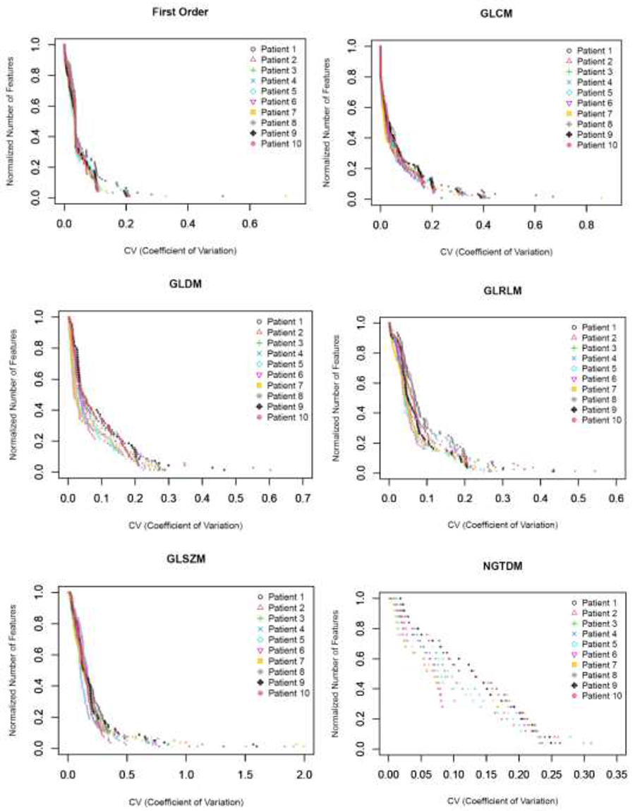
A total of 372 features were extracted for each of the five selected ROIs (PTV, PTV-LN, PTV-All, rectum, bladder). In Figure 1, the CV values’ results are summarized in terms of stability curves, where the normalized number of features is plotted against the CV values for all patients, ROIs, and considering all six groups of dosiomics features simultaneously (First-Order, GLCM, GLDM, GLRLM, GLSZM, NGTDM). Several features with certain values are not utilized in the curve representation for better visibility regarding CV changes. The analysis revealed that approximately 71% of the features had a CV less than 0.1. Additionally, around 5.9% of the features had a CV exceeding 0.25, while less than 2% of the features had a CV greater than 0.5 (Figure 1). Furthermore, less than 1% of the features exhibited a CV surpassing 1. The number of features with CV>0.25 included: 33 features in PTV, 60 features in PTV-All, 63 features in PTV-LN, 65 features in rectum, and finally, 54 features were found in the bladder.
Figure 1. The coefficient of variation values for all the patients and region of interests, considering simultaneously all the four dosiomics features families
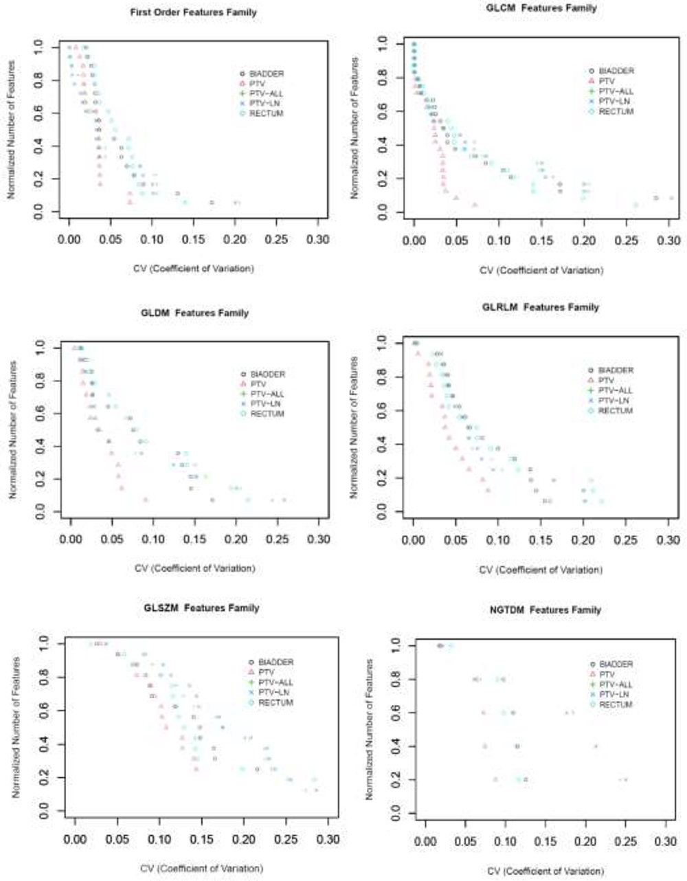
Stability curves are separately displayed for each of the six different groups of features for all patients in Figure 2. Additionally, Table 1 presents these results in terms of mean and maximum CV values for the six feature families and all ROIs. According to Table 1, PTV had the highest CV value in the GLSZM group, then bladder in First-Order, GLCM, GLDM, and GLRLM groups, and PTV LN in the NGTDM features group.
Figure 2. The coefficient of variation values for all patients and region of interests, considering separately different six dosiomics features families. (GLCM: Gray Level Co-occurrence Matrix, GLDM: Gray Level Dependence Matrix, GLRLM: Gray Level Run Length Matrix, GLSZM: Gray Level Size Zone Matrix, NGTDM: Neighboring Gray Tone Difference Matrix)
| Different Features Families/ROIs | PTV | PTV-All | PTV-LN | Rectum | Bladder | |
|---|---|---|---|---|---|---|
| First-Order | Max | 0.079 | 0.209 | 0.204 | 0.512 | 0.716 |
| Mean | 0.032 | 0.050 | 0.045 | 0.058 | 0.056 | |
| GLCM | Max | 0.163 | 0.670 | 0.402 | 0.603 | 0.858 |
| Mean | 0.021 | 0.084 | 0.080 | 0.060 | 0.067 | |
| GLDM | Max | 0.212 | 0.272 | 0.289 | 0.465 | 0.602 |
| Mean | 0.036 | 0.077 | 0.075 | 0.090 | 0.079 | |
| GLRLM | Max | 0.491 | 0.215 | 0.215 | 0.434 | 0.543 |
| Mean | 0.062 | 0.079 | 0.078 | 0.086 | 0.544 | |
| GLSZM | Max | 1.996 | 0.728 | 0.737 | 1.835 | 1.908 |
| Mean | 0.221 | 0.179 | 0.186 | 0.180 | 0.193 | |
| NGTDM | Max | 0.221 | 0.278 | 0.311 | 0.263 | 0.224 |
| Mean | 0.063 | 0.145 | 0.144 | 0.090 | 0.093 | |
| ROI: Region of Interest, PTV: Planning Target Volume, LN: Lymph Node, GLCM: Gray Level Co-occurrence Matrix, GLDM: Gray Level Dependence Matrix, GLRLM: Gray Level Run Length Matrix, GLSZM: Gray Level Size Zone Matrix, NGTDM: Neighboring Gray Tone Difference Matrix | ||||||
The most common dosiomics features with CV>0.25 are as follows:
For PTV: GLSZM-SALGLE (10 occurrences), GLSZM-SAHGLE (9 occurrences), and GLSZM-SAE (8 occurrences). The maximum CV value of 1.99 was obtained for patient 7 and the SZM-SAHGLE feature.
For PTV-All: GLCM-Cluster Prominence and GLCM-Cluster Shade (10 occurrences), GLSZM-SALGLE (7 occurrences), GLSZM-SAHGLE (6 occurrences), GLSZM-LGLZE, and GLSZM-LALGLE (5 occurrences). The maximum CV value of 0.72 was obtained for patient 6 and the SZM-SALGLE feature.
For PTV-LN: GLCM-Cluster Prominence and GLCM-Cluster Shade (10 occurrences), GLSZM-SALGLE (8 occurrences), GLSZM-SAHGLE, and GLDM-SDHGLE (7 occurrences), GLSZM-LALGLE (5 occurrences). The maximum CV value of 0.73 was obtained for patient 6 and the SZM-SALGLE feature.
For rectum: GLSZM-SALGLE (10 occurrences), GLSZM-SAHGLE, and GLRLM-LGLRE (5 occurrences). The maximum CV value of 1.83 was obtained for patient 2 and the SZM-SALGLE feature.
For bladder: GLSZM-SALGLE (9 occurrences), GLSZM-SAHGLE, GLCM-Cluster Prominence, and GLCM-Cluster Shade (7 occurrences), GLSZM-SAE (6 occurrences). The maximum CV value of 1.9 was obtained for patient 4 and the SZM-SALGLE feature.
Figure 3 displays the stability curves of different groups of dosiomics features for various ROIs. However, Figure 1 shows that each patient was separately examined, and Figure 3 presents the average values of CV related to each feature and ROI across all patients. Accordingly, the highest CV value was observed for PTV in the GLRLM group (CV<0.17), for PTV-LN in the GLCM group (CV>0.3), for PTV-All in the GLSZM group (CV>0.25), for rectum in the GLSZM group (CV<0.3), and bladder in the GLCM group (CV<0.3).
Figure 3.Stability curves for all features families. Each features family stability curve represents a different region of interests. For each feature and region of interest, the coefficient of variation has been averaged across all patients. (GLCM: Gray Level Co-occurrence Matrix, GLDM: Gray Level Dependence Matrix, GLRLM: Gray Level Run Length Matrix, GLSZM: Gray Level Size Zone Matrix, NGTDM: Neighboring Gray Tone Difference Matrix)
Discussion
The design of predictive models is controversial since a big data set is needed. It’s essential to use patient planning information from various centers. Therefore, it is necessary to evaluate the reproducibility and stability of these features against influential factors before modeling.
Recently, several studies have been conducted on the stability of extracting dosiomics features concerning various parameters related to different treatment technologies, processes, and the technology used to produce dose distributions in different radiation therapy centers [ 14 - 17 ]. In some studies, features were extracted from the dose distribution of the patients, who had different prescription doses, and then utilized as input for machine learning models to predict complications and prognosis after radiation therapy [ 2 , 7 ]. Additionally, the stability of dosiomics features was checked against various algorithms, versions of calculation algorithms, and different grid sizes for several patients with varying prescribed doses [ 15 ].
The current study is recognized as the first investigation into the stability of dosiomics features across different prescribed doses in radiation therapy. The CVs were calculated for each dosiomics feature, considering the dose distributions obtained from various prescribed doses. Subsequently, the study evaluated the stability of these features based on the calculated CV values. According to the results, the majority of features in all patients and six different feature groups, across all ROIs, exhibited high stability (71% of features with CV<0.1). According to the threshold CV value utilized in this study, it was observed that less than 6% of the features were deemed unstable, indicating a higher degree of variability. Additionally, less than 2% of the features exhibited a notably high coefficient of variation (CV>0.5), showing a substantial level of variability in those specific features.
By analyzing all patients, ROIs, and groups of dosiomics features simultaneously, the study revealed that the GLSZM group exhibited the most unstable features, characterized by the highest CV values. Following the GLSZM group, the subsequent groups with relatively higher instability, in descending order, were GLCM, First-Order, GLDM, GLRLM, and NGTDM. Among the most frequently unstable features across all patients and ROIs in the GLSZM group were: SALGLE (44 occurrences), followed by SAHGLE (34 occurrences), SAE (20 occurrences), LALGLE (17 occurrences), and finally LGLZE (15 occurrences). The highest frequency of instability for GLSZM-SALGLE was observed in PTV and rectum (10 occurrences), followed by bladder (9 occurrences), PTV-LN (8 occurrences), and finally PTV-All (7 occurrences). In other words, the most unstable features were GLSZM-SALGLE in PTV, followed by the rectum and bladder. Additionally, GLSZM-SAHGLE was the most frequent in PTV. Due to the high dose gradient in the PTV, the proximity of the bladder and rectal organs to the PTV, especially in the 3D-CRT treatment modality, prescribing different doses for the same designed plan causes high dose changes in pixel-to-pixel within the dose distribution, leading to significant changes in the values of these two features. As defined by SALGLE, the GLSZM feature group component measures the proportion of smaller regions with lower gray level values in the combined dose distribution through their joint distribution. SAHGLE measures the ratio in the image of the joint distribution of smaller-size regions with higher gray-level values. GLSZM quantifies the gray level areas in the dose distribution. A gray level region consists of a connected voxel set with the same gray level intensity.
From the group of GLCM features, the most recurring features, namely GLCM-Cluster Prominence and GLCM-Cluster Shade, were observed in PTV-All, PTV-LN organs (10 times), and in the bladder (7 times). It is worth mentioning that none of the features from the GLCM group were found among the unstable features in the PTV with a high dose gradient. Only one feature from the GLDM and GLRLM groups was identified as an unstable feature in PTV-LN (7 times) and rectum (5 times), respectively.
According to the results of this study, the findings align with most studies in this field, indicating that PTV has features with the highest coefficient of variation [ 14 - 16 , 18 ]. Additionally, textural features, especially GLCM and GLSZM, exhibit the most variability in recent studies [ 6 - 14, 18 ]. However, in terms of the number of unstable features considering the area analyzed in this study, the rectum, PTV-LN, PTV-All, bladder, and PTV had the highest number of unstable features, respectively.
The high variability of some features based on the selected ROIs contradicted the results of the study by Adachi et al., [ 19 ]. However, in their study, only the reproducibility of dosiomics features against different algorithms of treatment design systems was evaluated in lung patients treated using the SBRT method. They compared the reproducibility values obtained from different algorithms for different groups of patients with different prescription doses. The results of their study indicated that changes in the prescribed dose, despite causing significant changes in the dosimetric factors resulting from DVH, did not cause a significant difference in reproducibility among different groups with different prescribed doses.
In this research, not only the stability of the features was investigated for each patient separately, but also the CV values between the 10 studied patients were averaged once again. Figure 3 shows the results were more distinct than the previous findings: PTV-LN exhibited the highest coefficient of variation across all feature groups except GLRLM and First-Order groups. Within the GLRLM group, the rectum exhibited the highest CV value. Similarly, in the First-Order group, the PTV-All displayed the highest CV value. Furthermore, the most unstable features (CV>0.25) were observed in the GLCM group, specifically relating to the bladder, rectum, and PTV-LN. In the GLDM group, the unstable features were associated with the PTV-LN. As for the GLSZM group, the unstable features were linked to the rectum, PTV-All, and PTV-LN. In the NGTDM group, the unstable features were connected to the PTV-LN. No features with CV>0.25 were identified in the remaining two groups.
Conclusion
In this study, the stability of extracting dosiomics features against different prescription doses was evaluated for 10 prostate cancer patients. The degree of variability is not negligible based on the ROI and the group of desired features in dosiomics. Therefore, the total prescribed dose should be considered as a contributing factor when assessing the substantial variability of dosiomics features in stability studies focused on dosiomics feature extraction.
Acknowledgment
This article is the result of the thesis entitled “Prediction of normal rectum radiation-induced complications in pelvis radiotherapy using the rectum dosimetric parameters and changes in VEGF expression” with the code 399668, which was approved and financially supported by the Isfahan University of Medical Sciences. The efforts of the research assistants of Isfahan University of Medical Sciences are hereby appreciated and thanked. Additionally, the cooperation of Harandi Charity Foundation in Isfahan is appreciated and acknowledged.
Authors’ Contribution
M. Mirzaeiyan conceived the idea. Introduction of the paper was written by M. Mirzaeiyan. M. Mirzaeiyan gathered the images and the related literature and also helped with the writing of the related works. The method implementation was carried out by M. Mirzaeiyan. Results and Analysis were carried out by M. Mirzaeiyan, P. Shokrani, and Z. Sharifonnasabi. The research work was proofread and supervised by M. Mirzaeiyan and P. Shokrani. All the authors read, modified, and approved the final version of the manuscript.
Ethical Approval
The study was performed following the Helsinki Declaration on ethical principles for medical research involving human subjects and was approved by the Institutional Committee for Ethics in Biomedical Research of the Isfahan University of Medical Sciences (approval ID: IR.MUI.MED.REC.1399.862). Written informed consent was obtained from all individual participants to be included in the study.
Informed Consent
Written informed consent was obtained from all individual participants to be included in the study and to publish the accompanying images.
Conflict of Interest
None
References
- Murakami Y, Soyano T, Kozuka T, Ushijima M, Koizumi Y, Miyauchi H, et al. Dose-Based Radiomic Analysis (Dosiomics) for Intensity Modulated Radiation Therapy in Patients With Prostate Cancer: Correlation Between Planned Dose Distribution and Biochemical Failure. Int J Radiat Oncol Biol Phys. 2022; 112(1):247-59. DOI | PubMed
- Adachi T, Nakamura M, Shintani T, Mitsuyoshi T, Kakino R, Ogata T, et al. Multi-institutional dose-segmented dosiomic analysis for predicting radiation pneumonitis after lung stereotactic body radiation therapy. Med Phys. 2021; 48(4):1781-91. DOI | PubMed
- Liang B, Yan H, Tian Y, Chen X, Yan L, Zhang T, et al. Dosiomics: Extracting 3D Spatial Features from Dose Distribution to Predict Incidence of Radiation Pneumonitis. Front Oncol. 2019; 9:269. Publisher Full Text | DOI | PubMed [ PMC Free Article ]
- Wu A, Li Y, Qi M, Lu X, Jia Q, Guo F, et al. Dosiomics improves prediction of locoregional recurrence for intensity modulated radiotherapy treated head and neck cancer cases. Oral Oncol. 2020; 104:104625. DOI | PubMed
- Gabryś HS, Buettner F, Sterzing F, Hauswald H, Bangert M. Design and Selection of Machine Learning Methods Using Radiomics and Dosiomics for Normal Tissue Complication Probability Modeling of Xerostomia. Front Oncol. 2018; 8:35. Publisher Full Text | DOI | PubMed [ PMC Free Article ]
- Ren W, Liang B, Sun C, Wu R, Men K, Xu Y, et al. Dosiomics-based prediction of radiation-induced hypothyroidism in nasopharyngeal carcinoma patients. Phys Med. 2021; 89:219-25. DOI | PubMed
- Puttanawarut C, Sirirutbunkajorn N, Khachonkham S, Pattaranutaporn P, Wongsawat Y. Biological dosiomic features for the prediction of radiation pneumonitis in esophageal cancer patients. Radiat Oncol. 2021; 16(1):220. Publisher Full Text | DOI | PubMed [ PMC Free Article ]
- Liu H, Zhao D, Huang Y, Li C, Dong Z, Tian H, et al. Comprehensive prognostic modeling of locoregional recurrence after radiotherapy for patients with locoregionally advanced hypopharyngeal squamous cell carcinoma. Front Oncol. 2023; 13:1-10. Publisher Full Text | DOI | PubMed [ PMC Free Article ]
- Sun L, Burke B, Quon H, Swallow A, Kirkby C, Smith W. Do Dosiomic Features Extracted From Planned 3-Dimensional Dose Distribution Improve Biochemical Failure-Free Survival Prediction: an Analysis Based on a Large Multi-Institutional Data Set. Adv Radiat Oncol. 2023; 8(5):101227. Publisher Full Text | DOI | PubMed [ PMC Free Article ]
- Zhang Z, Wang Z, Yan M, Yu J, Dekker A, Zhao L, Wee L. Radiomics and Dosiomics Signature From Whole Lung Predicts Radiation Pneumonitis: A Model Development Study With Prospective External Validation and Decision-curve Analysis. Int J Radiat Oncol Biol Phys. 2023; 115(3):746-58. DOI | PubMed
- Abdollahi H, Dehesh T, Abdalvand N, Rahmim A. Radiomics and dosiomics-based prediction of radiotherapy-induced xerostomia in head and neck cancer patients. Int J Radiat Biol. 2023; 99(11):1669-83. DOI | PubMed
- Busato F, Fiorentin D, Bettinelli A, Anile G, Ghi MG, Scaggion A, et al. Dosiomic-based prediction of dysgeusia in head and neck cancer patients treated with radiotherapy. Radiother Oncol. 2023; 188:109896. DOI | PubMed
- Lucia F, Bourbonne V, Visvikis D, Miranda O, Gujral DM, Gouders D, et al. Radiomics Analysis of 3D Dose Distributions to Predict Toxicity of Radiotherapy for Cervical Cancer. J Pers Med. 2021; 11(5):398. Publisher Full Text | DOI | PubMed [ PMC Free Article ]
- Placidi L, Lenkowicz J, Cusumano D, Boldrini L, Dinapoli N, Valentini V. Stability of dosomics features extraction on grid resolution and algorithm for radiotherapy dose calculation. Phys Med. 2020; 77:30-5. DOI | PubMed
- Sun L, Smith W, Kirkby C. Stability of dosiomic features against variations in dose calculation: An analysis based on a cohort of prostate external beam radiotherapy patients. J Appl Clin Med Phys. 2023; 24(5):e13904. Publisher Full Text | DOI | PubMed [ PMC Free Article ]
- Placidi L, Cusumano D, Lenkowicz J, Boldrini L, Valentini V. On dose cube pixel spacing pre-processing for features extraction stability in dosiomic studies. Phys Med. 2021; 90:108-14. DOI | PubMed
- Placidi L, Gioscio E, Garibaldi C, Rancati T, Fanizzi A, Maestri D, et al. A Multicentre Evaluation of Dosiomics Features Reproducibility, Stability and Sensitivity. Cancers (Basel). 2021; 13(15):3835. Publisher Full Text | DOI | PubMed [ PMC Free Article ]
- Puttanawarut C, Sirirutbunkajorn N, Tawong N, Khachonkham S, Pattaranutaporn P, Wongsawat Y. Impact of Interfractional Error on Dosiomic Features. Front Oncol. 2022; 12:726896. Publisher Full Text | DOI | PubMed [ PMC Free Article ]
- Adachi T, Nakamura M, Kakino R, Hirashima H, Iramina H, Tsuruta Y, et al. Dosiomic feature comparison between dose-calculation algorithms used for lung stereotactic body radiation therapy. Radiol Phys Technol. 2022; 15(1):63-71. DOI | PubMed