Document Type : Original Research

Authors

1 Cellular and Molecular Research Center, Yasuj University of Medical Sciences, Yasuj, Iran

2 Anatomy Department, School of Medicine, Shiraz University of Medical Sciences, Shiraz, Iran

3 Histomorphometry and Stereology Research Center, Shiraz University of Medical Sciences, Shiraz, Iran

4 Student Research Committee, Yasuj University of Medical Sciences, Yasuj, Iran

5 Ionizing and Non-ionizing Radiation Protection Research Center (INIRPRC), Shiraz University of Medical Sciences, Shiraz, Iran

6 Department of Medical Physics and Medical Engineering, School of Medicine, Shiraz University of Medical Sciences, Shiraz, Iran

7 MVLS College, The University of Glasgow, Glasgow, Scotland, UK

10.31661/jbpe.v0i0.2405-1759

Abstract

Background: Radiofrequency Electromagnetic Fields (RF-EMF) have raised concerns due to their potential adverse effects on reproductive health. However, emerging evidence indicates that exposure to low-level RF-EMF may induce adaptive responses, rendering cells or organisms more resilient to subsequent stressors.
Objective: To investigate whether exposure to 2.45 GHz Wi-Fi radiation could mitigate heat-induced damage in the reproductive system of male rats.
Material and Methods: In this factorial experimental study, 32 adult male Wistar rats were divided into four groups: control, RF-EMF alone, heat stress alone, and RF-EMF combined with heat stress. Rats in the RF-EMF group were exposed to RF-EMF for 2 hours daily over 52 days, while those in the heat group experienced 10 minutes of heat stress per day over the same period. The ‘RF-EMF + heat’ group received both RF-EMF and heat exposure. After 52 days, the testes and sperm parameters were assessed.
Results: Animals exposed to ‘RF-EMF + heat’ combined with heat showed significant improvements in testis volume, tubular epithelium, interstitium, cell counts, sperm quality, and Leydig cells compared to those exposed to heat alone (P<0.05). 
Conclusion: As far as we know, this is the first study to explore the potential protective effects of RF-EMF exposure against heat-induced structural abnormalities in the testes of male rats. Our findings suggest that RF-EMF exposure may mitigate heat-induced damage, possibly through the induction of adaptive responses. These results have implications for various fields, including reproductive biology, environmental health, and occupational safety, highlighting the need for further research to elucidate the underlying mechanisms.

Highlights

Reza Mahmoudi (Google Scholar)

Seyed Alireza Mortazavi (Google Scholar)

Keywords

Introduction

Exposure to Radiofrequency Electromagnetic Fields (RF-EMF) can lead to adverse effects on human health. Intensity, frequency and duration of exposure are three important factors affecting the magnitude of the effects of RF-EMF on human cells and their functions. Electromagnetic fields of frequencies ranging from 300 MHz to 300 GHz are called microwaves [ 1 ].

Numerous studies have shown that factors such as endocrine disorders, lifestyle, radiations, preservatives, and heat can induce infertility and/or impairment of reproductive function in men [ 1 - 3 ]. It has been previously shown that exposing male rats to the RF-EMFs could cause a significant decrease in total sperm count. Research on the effects of radiation emitted from cell phones on sperm quality showed decreased sperm count, motility, viability and altered morphology [ 4 ]. Increased scrotal temperature has been reported as one of the possible mechanisms involved in common diseases related to male infertility, such as varicocele. There has been experimental research on spermatogenesis of both humans and animals regarding the negative effects of scrotal exposure to external heat [ 5 , 6 ]. Heat has a disrupting effect on spermatogenesis and reducing normal sperm count, morphology and motility of the sperms. In this regard, heat can affect spermatogenesis through three mechanisms such as apoptosis, necrosis and production of Reactive Oxygen Species (ROS) [ 7 ].

Adaptive Response (AR) is one of the evolved defense mechanisms against genotoxic damage [ 8 ]. AR is a common phenomenon that occurs following exposure to low dose radiation and would increase future resistance to higher doses. Moreover, several researches have shown that when cells are exposed to low dose of such stressors, they will show higher resistance to higher doses of the same factor, or even sometimes similar factors, at a later stage [ 9 ]. Jeggo et al. study in 1997 on E. coli bacteria showed that when the bacteria were exposed to low levels of alkylating agents, they had less damage after exposure to higher doses of the same agents, as well as other agents [ 10 ].

In the present study, we investigated the effects of heat and radiofrequency radiation on sperm parameters and testicular tissues in adult male rats. Given this consideration, we tried to answer the following questions:

  • 1. Do the sperm parameters and testicular tissue change after exposure to heat?
  • 2. Do the volume of the testis, seminiferous tubules epithelium and interstitial change after exposure to heat?
  • 3. Can the number of testicular cells change after exposure to heat?
  • 4. Can RF-EMF prevent alteration in sperm parameters?
  • 5. Can RF-EMF prevent changes in the testis structure in the animals exposed with heat?

To the best of our knowledge, this is the first study on the protective effects of the exposure to RF-EMFs generated by a commercial Wi-Fi router on heat stress-induced sperm damages and testicular tissues.

Material and Methods

Animals

In this factorial experimental study, 32 adult male Wistar rats (average weight ranged 200-250 g) were purchased from Shiraz Razi Institute. The rats were kept under standard conditions (12-12 h light-dark cycle), and received adequate food and water ad libitum, according to the ethical protocols for animal research recognized by the Yasuj University of Medical Sciences and Shiraz University of Medical Sciences.

Experimental design

Animals were divided into four groups as follows:

G1, control group

G2, RF-EMF group

G3, heat group

G4, “RF-EMF + heat” group

In the RF-EMF group, the rats were exposed to RF-EMF by placing them at a distance of 60 cm from the antenna of a commercial Wi-Fi router 2 h/d for 52 days [ 11 ]. The animal of the heat group was placed in a water bath of 43 ℃ 10 min/d for 52 days. In the fourth group (RF-EMF + heat) the rats were first exposed to RF-EMF (the same procedure used for group II) then placed in a 43 ℃ water bath 10 min/d for 52 days. At the end of the experiment, the testes of the rats as well as sperm parameters were analyzed . To evaluate the structural changes of the testis, the tissue was assessed by stereological technique.

Radiofrequency Source (Wi-Fi router)

A D-Link Wi-Fi router (D-Link, D-Link Corporation, Taiwan) was used in this study as the RF-EMF exposure source. This modem was exchanging data with a laptop computer that was in another room (at least 5 meters away from the Wi-Fi router) during the exposure period. The Wi-Fi router operated on power level of 1W and the Specific Absorption Rate at the distance of 30 cm in animals’ head level, as reported in another publication by our team, was 0.091 W/kg [ 11 ].

Induction of transient heat stress

Rats were placed in a water bath, so that the animal’s scrotum was entirely immersed, for 10 minute in a thermostatically controlled water bath (43 °C) [ 7 ].

Semen analysis

The sperm parameters (including sperm count, motility and normal morphology) were assessed according to a previous research [ 12 ].

Testis tissue collection and preparation

On the final day of the examination, the testis was removed and weighed. Then, its primary volume “V (testis)” was measured by the immersion technique. Each testis was sectioned according to the “orientator technique” and 8-12 pieces were collected. Afterward, the pieces were processed, embedded, sectioned (4 and 25 µm thickness), and stained with Hematoxylin and Eosin (H&E). Generally, tissue processing leads to shrinkage of the testicular tissue. An easy method for assessing the shrinkage degree “d (shr)” is to punch a circular part from the section pieces of the testicular tissue by a trocar. Consequently, the areas of the circle after and before tissue processing were measured. The shrinkage degree of tissue “d (shr)” was evaluated by the subsequent formula:

d(sh)=1-(AA/AB)1.5

Where: AA and AB show the circular part area after and before tissue processing, respectively.As a result, the secondary volume of the testis was calculated via multiplying the primary volume by the degree of shrinkage [ 13 - 15 ].

Estimation of the seminiferous tubules, epithelium, and interstitial tissue volumes

The volume density “Vv (structure / testis sections)” of the seminiferous tubules, seminiferous epithelium, and interstitial tissue were estimated using the “point-counting technique” applied on sections with a thickness of 5 µm.

By means of the stereology software system (Stereolite, SUMS, Shiraz, Iran), Nikon E-200 microscope (Tokyo, Japan) with an oil objective lens (Tokyo, Japan), a Samsung video camera (South Korea).

The “Vv (structure / testis sections)” was estimated according to the “point-counting technique” [ 13 - 15 ] and the following formula:

Vv (structure/testicle) = [∑P (structures)/∑P (total testis tissue)]

Where: “∑P (structure)” and “∑P (total testis tissue)” is the number of points hitting the mentioned structures and the total testis tissue, respectively. The total volume of each structure was obtained by the subsequent formula:

V (structure) = Vv (structure/testicle) × V (secondary volume of the testis).

Cell number estimation

The numerical density “Nv (cells/testis)” of spermatogenic, Sertoli, and Leydig cells was evaluated by optical dissector techniques applied on sections with a thickness of 25 µm.

Employing a Nikon E200 Microscope, high numerical aperture oil immersion lens, a microcenter (Heidenhain MT-12, Germany), a Samsung video camera, and the stereological probe (unbiased counting frame), we estimated the “Nv (cells/testicle)” based on the “dissector technique”

The heights of dissector and guard zones of the tissue section were defined. Consistent with systematic uniform random sampling, microscopic fields were chosen by moving the XY microscope stages at the same distances and a microcator for assessment of the Z-direction movement [ 13 - 15 ]. For calculating the numerical density (number of cells) in the unit volume of the germinal epithelium the following formula was used:

Nv(cells/testis) = ΣQ/ (ΣA×h)

Where ΣQ shows the number of nuclei arriving into focus, ΣA is the sum area of the unbiased counting frame in all fields, and “h” shows the “dissector’s height”. The total number of cells was calculated by the next formula:

N(cells) = Nv(cells/testis) × V(epithelium).

Statistical analysis

GraphPad Prism software version 8.0.0 for windows, GraphPad Software, (San Diego, California USA) was employed to analyze the data. Sperm quality (number, motility, and normal morphology) and stereological parameters (volume, and number of cells) were compared using one-way Analysis of Variance (ANOVA) and Tukey’s post-hoc tests. A P-value less than 0.05 were reported as statistically significant.

Results

Spermatozoa count, motility and morphology

Sperm count, motility and normal morphology significantly decreased in the animals exposed to heat in comparison with the control group (P=0.001, P=0.001 and P=0.001, respectively). As well as the mentioned parameters in the rats that were exposed with RF-EMF +heat increased in comparison with the heat groups (P=0.01, P=0.002, P=0.006) (Table 1).

Groups Count Motility Normal morphology
Control 4.22±0.68 72.97±8.97 93.98.6±0.59
RF-EMF 3.97±0.49 63.05±5.59 87.51±0.86
Heat *2.53±0.57 *7.96±0.75 *7.49±6.06
RF-EMF +Heat #3.97±0.5 *18.22±2.3 *19.85±8.34
RF-EMF: Radiofrequency Electromagnetic Fields.
* P<0.001 (Heat vs Control; RF-EMF +Heat vs Heat).
# P=0.01 (RF-EMF +Heat vs Heat).
Table 1. Mean±standard deviation of the spermatozoa count (×106), motility (%), and normal morphology (%) of the Control, Radiofrequency Electromagnetic Fields (RF-EMF), Heat, and RF-EMF +Heat groups.

Volumes of testis, seminiferous tubules, seminiferous epithelium and interstitial tissue

Isotropic uniform random sections of the testis achieved according to the random direction of the Φ and θ clocks are illustrated in Figure 1. The results revealed that volume of testis, seminiferous tubules, seminiferous epithelium and interstitial were significantly reduced in heat group in comparison with the control group (P=0.0001, P=0.0001, P=0.0001 and, P=0.003, respectively). In addition mentioned parameters in the rats that were exposed with RF-EMF +Heat significantly increased in comparison with the heat groups (P=0.0001, P=0.0006, P=0.0001 and, P=0.04, respectively) (Figure 2 A-D).

Figure 1. Practice of stereological methods: Isotropic uniform random sections of the testis achieved according to the random direction of the Φ and θ clocks. The testis is located on Φ clock and a random number (here 5); it is cut into two parts (A). After that, the cut surface of each division of the testis is located on the 0-0 direction of θ clock, and the second cuts are completed (here 2 and 9) (B and C). Lastly, 8-12 pieces of testis were assembled and a circle was randomly punched for estimate volume shrinkage (D). Point-counting technique was used to calculate the volume density of the testis structures on the Haemotoxylin and Eosin sections (E). The disector technique was employed for assessment the numerical density of the different testicular cells (F and G).

Figure 2. The aligned dot plot showing the volumes of the testis (A), seminiferous tubules (B), seminiferous epithelium (C) and interstitial tissue (D) in the control, Radiofrequency Electromagnetic Fields (RF-EMF), heat, and RF-EMF +Heat groups. Each dot shows an animal, and the horizontal bars illustrate the means of the parameters. The significant differences and p-values have been displayed on each dot plot by an asterisk, number sign and dagger (*P≤0.0001, #P<0.003, †P=0.04).

Number of cells

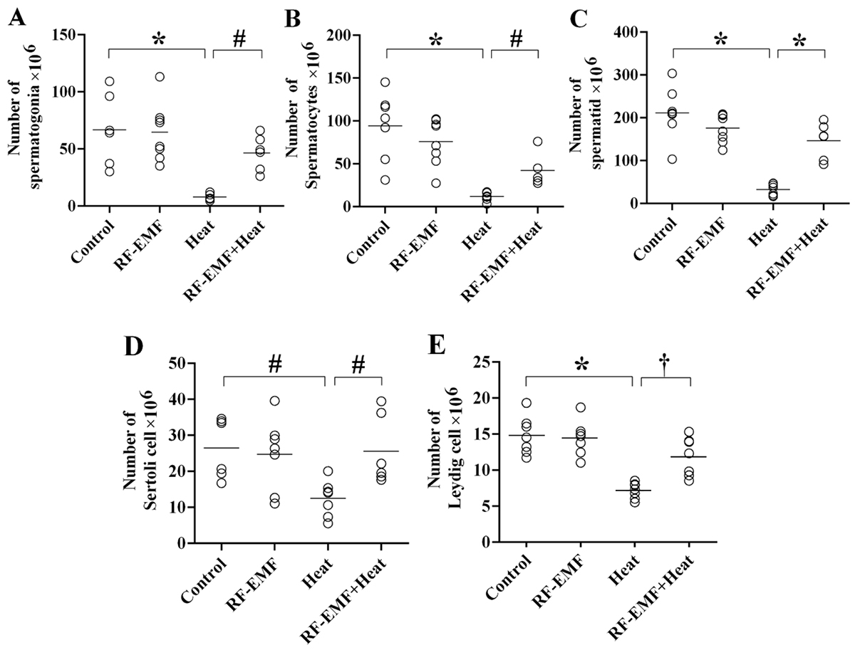
The results showed that number of spermatogonia (type A+B), spermatocytes, spermatids (round, long), Sertoli and Leydig cells were significant losses in the animals exposed to the heat in comparison with the control groups (P=0.0008, P=0.0001, P=0.0001, P=0.03 and P=0.0001, respectively). As well as the number of cells listed in the rats that were exposed with RF-EMF +heat significantly increased in comparison with the heat groups (P=0.03, P=0.05, P=0.0002, P=0.04 and P=0.004, respectively) (Figure 3 A-E).

Figure 3. The aligned dot plot indicating the total numbers of spermatogonia (A), spermatocytes (B), spermatids (C), Sertoli cells (D), and Leydig cells (E) in the control, Radiofrequency Electromagnetic Fields (RF-EMF), heat, and RF-EMF +Heat groups. Each dot presents an animal, and the horizontal bar is the mean of the parameters. The significant differences and P-values are revealed on each dot plot by an asterisk, number sign and dagger (*P≤0.0001, #P<0.05, †P=0.004).

Semen analysis

The sperm parameters (including sperm count, motility and normal morphology) were assessed according to previous research [ 12 ].

Stereological study

At the end of the experiment, the testis was removed and its weight recorded. We then measured its original volume (V(testis)) using an immersion technique (Figure 1A). To avoid the lengthy process of sectioning the testis for volume calculation using the Cavalieri method, we assessed the shrinkage (d(shr)) of the tissue. This assessment relies on random, uniformly cut sections. Following the “orientator method” (Figure 1 B, C, D), 8-12 slices were collected from each testis. A circular piece was then punched out of a random slice using a surgical instrument called a trocar (Figure 1 E, F). The area of this circular piece was calculated. Both the tissue fragments and the circular piece were then processed, sliced thinly (4 and 25 micrometers thick), and stained with Hematoxylin-Eosin (Figure 1 G, H). The area of the circular piece was re-measured after processing and staining, and the shrinkage (d(shr)) was calculated using the following formula:

d(sh)=1-(AA/AB)1.5

where AA represents the area of the circular piece after processing and staining, and AB represents the area before processing and staining

By a video microscopy system, the sections were analyzed. In doing so, the fields of microscopic were tested by a systematic random sampling method. Then, point grid and unbiased counting frame were superimposed on the microscopic image on a monitor [ 3 , 16 - 18 ] (Figure 1 A). The stereology software utilized in this study was developed at the Stereological Research Laboratory, Shiraz University of Medical Sciences, Shiraz, Iran.

Estimation of the volume of the testis element

We used a technique called “point-counting” to determine the percentage of each tissue type (germinal epithelium, tubules, and interstitial tissue) within the testis [ 3 , 16 - 18 ]. This involved placing a grid over magnified images of the testis and counting how many points landed on each tissue type. The total volume of each tissue type was then calculated by multiplying this percentage by the overall volume of the testis.

Counting Cells

Next, we counted the total number of different cell types within the testis, including spermatogonia (types A and B), spermatocytes, spermatids (round and long), Sertoli cells, and Leydig cells. We used a specialized technique called the “optical dissector” on thicker sections (25 micrometers) of the tissue. This method relies on a high-powered microscope and software to identify and count cells within a specific sampling area.

The formula used to estimate the number of cells per unit volume of tissue (called numerical density) considers several factors:

  • ΣQ: The total number of cell nuclei that come into focus within the sampling area.
  • ΣA: The total area of the sampling frame across all analyzed sections.
  • h: The height of the sampling area within the tissue section.
  • t: The average thickness of the tissue section.
  • BA: The setting on the instrument used to slice the tissue sections (microtome).

With this information, we could calculate the number of cells per unit volume of germinal epithelium.

Finally, to determine the total number of each cell type in the entire testis, we multiplied the number of cells per unit volume by the volume of the germinal epithelium and then adjusted for shrinkage using the shrinkage factor (1 - d(shr)).

Statistical analysis

Results were analyzed applying SPSS Statistics version 23.0 using the one-way ANOVA, the Mann-Whitney U test and the Kruskal-Wallis H test. Means and standard deviations were calculated for the resulting data and P-value of <0.05 was set as the level of significancy. Respective diagrams were drawn using Microsoft Excel.

Discussion

Our results indicate that RF-EMF exposure could lead to increased testicular weight and volume in the exposure groups Compared to the control group.

Results from the present study showed that RF-EMF exposure could lead to decline in sperm parameters, which is consistent with the findings of Mortazavi et al. Mailankot et al. and Avenado et al. [ 19 - 21 ]. According to a study done by Mahmoudi et al. in 2015, RF-EMF from Wi-Fi routers had negative impact on sperm quality and weight. In that study, there was a significant decrease in sperm count, testicular weight and number of spermatogonia. Although DNA fragmentation was observed, it was not statistically significant [ 11 ].

In this research, radiation was able to reduce the testis germinal cell count (spermatogonia, spermatocytes, spermatids and sertoli cells), and the result was consistent with the results of Gohari et al. (2017), microwave radiation had caused reductions in BCL-2 levels (a well-known regulator and preventer of apoptosis) and sperm parameters [ 22 ].

Our stereological studies showed that RF-EMFs could reduce the mean volume of total interstitial tissue and germinal epithelium. Moreover, there was an increase in the mean total volume of the lumen of seminiferous tubules. These findings were consistent with the results reported by Cetkin et al. Stereological studies performed by them on rats’ testicular tissues suggested that mobile phone radiation could increase mean interstitial tissue volume and reduce mean tubular tissues volume in both stand-by and on talk mode. Moreover, it could also reduce mean germinal and tubular volume, diameter of seminiferous tubules and germinal layer height [ 23 ].

The current study showed the reducing effects of heat on testicular weight and volume, which is consistent with the results of Miura et al. who stated that the testes would lose weight when exposed to 43 ℃ water [ 24 ].

In this study, heat was able to cause significant reductions in sperm parameters (count, motility and morphology), which is similar to the findings by Pérez-Crespo et al. and Afiyani et al. [ 5 , 25 ].

After two months of varicocele induction, Afiyani et al. observed increased HSP70s (a family of heat shock proteins), which could be an indication of increased scrotal temperature caused by varicocele; this increased temperature subsequently reduced the sperm parameters [ 25 ].

Moreover, our stereological studies showed that exposure to heat (43 ℃ water) resulted in decreased volume and number of germinal cells (including spermatogonia, spermatocytes, spermatids, and sertoli), and consequently, reduced lumen volume in seminiferous tubules. In addition, testicular weight and volume were reduced. These findings are consistent with the results obtained in some of the previous studies. Numerous studies have shown that scrotal exposure to a 43 ℃ water bath could lead to reduced BCL-2 expression and germinal cell apoptosis [ 26 - 29 ]. In 2017, Gohari et al. reported that heat causes a decrease in BCL-2 expression and germinal cell apoptosis [ 22 ].

Our research revealed that both microwaves and heat can increase the number of Leydig cells, similar to the results obtained by Li et al. In this regard, they showed that the Leydig cells had increased by 50% in the testes exposed to heat, which had happened as a result of heat-induced hyperplasia (increased proliferation of Leydig cells). Furthermore, testosterone concentrations were reduced in serum, as well as the testicular tissue [ 30 ].

Substantial evidence shows that cells pre-exposed to low doses of DNA-damaging agents (e.g. ionizing radiation, UV, alkylating agents, oxidants and heat) may become resistant against the adverse effects of higher doses of the same agents or even other agents. This phenomenon is known as the AR [ 31 , 32 ]. Given this consideration, for example when cells, or tissues, are exposed to low doses of ionizing or non-ionizing radiations, they show more resistance against higher levels of radiation after a specific time [ 33 ]. A study by Mortazavi et al. (2017) showed that pre-exposure to 915 MHz radiofrequency radiation would induce increased number and activity of antioxidant enzymes, and consequently AR, which then protects the tissue from oxidative damage induced by gamma radiation [ 34 ]. Our results showed that testicular weight and volume, germinal cell count (spermatogonia, spermatocytes, spermatids, and sertoli cells) and sperm parameters (count, and motility) were all increased and morphology was altered in the RF-EMF +heat group compared to the heat group. Although further studies are needed to clarify the potential mechanisms, it can be hypothesized that low-level injuries caused by 2.4-GHz RF-EMF triggered the induction of the AR. Through such a mechanism, RF-EMF was able to mitigate the detrimental effects of heat.

Conclusion

In conclusion, the findings of this study shed light on the complex interactions between RF-EMF exposure, heat, and their impact on testicular health. The results suggest that RF-EMF exposure may lead to alterations in testicular weight, volume, and sperm parameters, consistent with previous research highlighting the potential negative effects on male reproductive health.

The observed decline in sperm parameters and germinal cell count in response to RF-EMF exposure and heat align with existing literature, indicating a potential link between environmental factors and male fertility. The increase in Leydig cells following exposure to heat underscores the intricate cellular responses to thermal stress.

Furthermore, the concept of AR emerges as a potential mechanism through which cells may develop resistance to subsequent exposures to damaging agents. The induction of AR by RF-EMF and heat, as suggested by the study results, presents a fascinating avenue for further exploration into the protective mechanisms activated in response to low-level injuries.

While the precise mechanisms underlying these observations require further investigation, the implications of this study highlight the importance of understanding the intricate interplay between environmental factors and male reproductive health. Continued research in this area is crucial for elucidating the potential risks associated with RF-EMF exposure and heat on testicular function and fertility.

Acknowledgment

This article was a part of the thesis written by Ehsan Masoudi, MSc student of Anatomy. Hereby, the authors would like to thank Research Consultation Center (RCC) of Shiraz University of Medical Sciences and Mr. Hossein Argasi for invaluable assistance in editing this manuscript.

Authors’ Contribution

R. Mahmoudi and SMJ. Mortazavi designed the study. E. Masoudi, S. Karbalay-Doust, M. Jafari-Barmak, A. Ghanbri, and M. Nikseresht were actively involved in conducting the experiments. SAR. Mortazavi contributed to design visualization (graphical abstract) and final revisions of the manuscript. All authors have reviewed and approved the final manuscript.

Ethical Approval

This study was approved by the Medical Ethics Committee of Yasuj University of Medical Sciences, Yasuj, Iran (Ethical Approval Code: P/23/2/555).

Funding

This work was financially supported by grant No. /23/14/6/5 from Yasuj University of Medical Sciences, Yasuj, Iran.

Conflict of Interest

SMJ. Mortazavi, as the Editorial Board Member, was not involved in the peer-review and decision-making processes for this manuscript.

References

  1. Banik S, Bandyopadhyay S, Ganguly S. Bioeffects of microwave--a brief review. Bioresour Technol. 2003; 87(2):155-9. DOI | PubMed
  2. Fallahzadeh AR, Rezaei Z, Rahimi HR, Barmak MJ, Sadeghi H, Mehrabi S, et al. Evaluation of the Effect of Pentoxifylline on Cisplatin-Induced Testicular Toxicity in Rats. Toxicol Res. 2017; 33(3):255-63. Publisher Full Text | DOI | PubMed [ PMC Free Article ]
  3. Mahmoudi R, Honarmand Z, Karbalay-Doust S, Jafari-Barmak M, Nikseresht M, Noorafshan A. Using curcumin to prevent structural impairments of testicles in rats induced by sodium metabisulfite. EXCLI J. 2017; 16:583-92. Publisher Full Text | DOI | PubMed [ PMC Free Article ]
  4. Kesari KK, Behari J. Effects of microwave at 2.45 GHz radiations on reproductive system of male rats. Toxicol Environ Chem. 2010; 92(6):1135-47. DOI
  5. Pérez-Crespo M, Pintado B, Gutiérrez-Adán A. Scrotal heat stress effects on sperm viability, sperm DNA integrity, and the offspring sex ratio in mice. Mol Reprod Dev. 2008; 75(1):40-7. DOI | PubMed
  6. Alizadeh N, Abbasi M, Abolhassani F, Amidi F, Mahmoudi R, Hoshino Y, et al. Effects of aminoguanidine on infertile varicocelized rats: A functional and morphological study. Daru. 2010; 18(1):51-6. Publisher Full Text | PubMed [ PMC Free Article ]
  7. Durairajanayagam D, Agarwal A, Ong C. Causes, effects and molecular mechanisms of testicular heat stress. Reprod Biomed Online. 2015; 30(1):14-27. DOI | PubMed
  8. Zhou H, Randers-Pehrson G, Geard CR, Brenner DJ, Hall EJ, Hei TK. Interaction between radiation-induced adaptive response and bystander mutagenesis in mammalian cells. Radiat Res. 2003; 160(5):512-6. Publisher Full Text | DOI | PubMed [ PMC Free Article ]
  9. Joiner MC, Lambin P, Malaise EP, Robson T, Arrand JE, Skov KA, Marples B. Hypersensitivity to very-low single radiation doses: its relationship to the adaptive response and induced radioresistance. Mutat Res. 1996; 358(2):171-83. DOI | PubMed
  10. Jeggo P, Defais TM, Samson L, Schendel P. An adaptive response of E. coli to low levels of alkylating agent: comparison with previously characterised DNA repair pathways. Mol Gen Genet 1977; 157(1):1-9. DOI | PubMed
  11. Mahmoudi R, Mortazavi SMJ, Safari S, Nikseresht M, Mozdarani H, Jafari M, et al. Effects of microwave electromagnetic radiations emitted from common Wi-Fi routers on rats’ sperm count and motility. Int J Radiat Res. 2015; 13(4):363-8. DOI
  12. Aminsharifi A, Hekmati P, Noorafshan A, Karbalay-Doost S, Nadimi E, Aryafar A, et al. Scrotal Cooling to Protect Against Cisplatin-induced Spermatogenesis Toxicity: Preliminary Outcome of an Experimental Controlled Trial. Urology. 2016; 91:90-8. DOI | PubMed
  13. Karbalay-Doust S, Darabyan M, Sisakht M, Haddadi G, Sotoudeh N, Haghani M, Mortazavi SMJ. Extremely Low Frequency-Electromagnetic Fields (ELF-EMF) Can Decrease Spermatocyte Count and Motility and Change Testicular Tissue. J Biomed Phys Eng. 2023; 13(2):135-46. Publisher Full Text | DOI | PubMed [ PMC Free Article ]
  14. Mohamadpour M, Noorafshan A, Karbalay-Doust S, Talaei-Khozani T, Aliabadi E. Protective effects of curcumin co-treatment in rats with establishing chronic variable stress on testis and reproductive hormones. Int J Reprod Biomed. 2017; 15(7):447-52. Publisher Full Text | PubMed [ PMC Free Article ]
  15. Noorafshan A, Hoseini L, Karbalay-Doust S, Nadimi E. A simple stereological method for estimating the number and the volume of the pancreatic beta cells. JOP. 2012; 13(4):427-32. DOI | PubMed
  16. Dorph-Petersen KA, Nyengaard JR, Gundersen HJ. Tissue shrinkage and unbiased stereological estimation of particle number and size. J Microsc. 2001; 204(Pt 3):232-46. DOI | PubMed
  17. Tschanz S, Schneider JP, Knudsen L. Design-based stereology: Planning, volumetry and sampling are crucial steps for a successful study. Ann Anat. 2014; 196(1):3-11. DOI | PubMed
  18. Von Bartheld CS. Distribution of Particles in the Z-axis of Tissue Sections: Relevance for Counting Methods. Neuroquantology. 2012; 10(1):66-75. Publisher Full Text | PubMed [ PMC Free Article ]
  19. Mortazavi SMJ, Tavassoli A, Ranjbari F, Moammaiee P. Effects of laptop computers’ electromagnetic field on sperm quality. J Reprod Infertil. 2010; 11(4):251-8.
  20. Mailankot M, Kunnath AP, Jayalekshmi H, Koduru B, Valsalan R. Radio frequency electromagnetic radiation (RF-EMR) from GSM (0. 9/1. 8GHz) mobile phones induces oxidative stress and reduces sperm motility in rats Clinics (Sao Paulo) 2009; 64(6):561-5. Publisher Full Text | DOI | PubMed [ PMC Free Article ]
  21. Avendaño C, Mata A, Sanchez Sarmiento CA, Doncel GF. Use of laptop computers connected to internet through Wi-Fi decreases human sperm motility and increases sperm DNA fragmentation. Fertil Steril. 2012; 97(1):39-45.
  22. Gohari FA, Saranjam B, Asgari M, Omidi L, Ekrami H, Moussavi-Najarkola SA. An Experimental Study of the Effects of Combined Exposure to Microwave and Heat on Gene Expression and Sperm Parameters in Mice. J Hum Reprod Sci. 2017; 10(2):128-34. Publisher Full Text | DOI | PubMed [ PMC Free Article ]
  23. Çetkin M, Kızılkan N, Demirel C, Bozdağ Z, Erkılıç S, Erbağcı H. Quantitative changes in testicular structure and function in rat exposed to mobile phone radiation. Andrologia. 2017; 49(10):e12761. DOI | PubMed
  24. Miura M, Sasagawa I, Suzuki Y, Nakada T, Fujii J. Apoptosis and expression of apoptosis-related genes in the mouse testis following heat exposure. Fertil Steril. 2002; 77(4):787-93. DOI | PubMed
  25. Afiyani A, Deemeh MR, Tavalaee M, Nasr Esfahani MH. P-11: Evaluation of Heat Shock Protein A2 in Male Rats before and after Varicocele Induction. Int J Fertil Steril. 2014; 8(Suppl 1):41.
  26. Yin Y, Hawkins KL, DeWolf WC, Morgentaler A. Heat stress causes testicular germ cell apoptosis in adult mice. J Androl. 1997; 18(2):159-65. PubMed
  27. Rockett JC, Mapp FL, Garges JB, Luft JC, Mori C, Dix DJ. Effects of hyperthermia on spermatogenesis, apoptosis, gene expression, and fertility in adult male mice. Biol Reprod. 2001; 65(1):229-39. DOI | PubMed
  28. Allan DJ, Harmon BV, Roberts SA. Spermatogonial apoptosis has three morphologically recognizable phases and shows no circadian rhythm during normal spermatogenesis in the rat. Cell Prolif. 1992; 25(3):241-50. DOI | PubMed
  29. Lue YH, Hikim AP, Swerdloff RS, Im P, Taing KS, Bui T, Leung A, Wang C. Single exposure to heat induces stage-specific germ cell apoptosis in rats: role of intratesticular testosterone on stage specificity. Endocrinology. 1999; 140(4):1709-17. DOI | PubMed
  30. Li Z, Tian J, Cui G, Wang M, Yu D. Effects of local testicular heat treatment on Leydig cell hyperplasia and testosterone biosynthesis in rat testes. Reprod Fertil Dev. 2016; 28(9):1424-32. DOI | PubMed
  31. Sannino A, Sarti M, Reddy SB, Prihoda TJ, Vijayalaxmi, Scarfì MR. Induction of adaptive response in human blood lymphocytes exposed to radiofrequency radiation. Radiat Res. 2009; 171(6):735-42. DOI | PubMed
  32. Mortazavi S. Window theory in non-ionizing radiation-induced adaptive responses. Dose Response. 2013; 11(2):293-4. Publisher Full Text | DOI | PubMed [ PMC Free Article ]
  33. Cook CM, Saucier DM, Thomas AW, Prato FS. Exposure to ELF magnetic and ELF-modulated radiofrequency fields: the time course of physiological and cognitive effects observed in recent studies (2001-2005). Bioelectromagnetics. 2006; 27(8):613-27. DOI | PubMed
  34. Mortazavi SMJ, Mostafavi-Pour Z, Daneshmand M, Zal F, Zare R, Mosleh-Shirazi MA. Adaptive Response Induced by Pre-Exposure to 915 MHz Radiofrequency: A Possible Role for Antioxidant Enzyme Activity. J Biomed Phys Eng. 2017; 7(2):137-42. Publisher Full Text | PubMed [ PMC Free Article ]